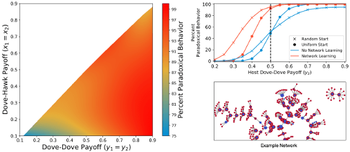
An important way to resolve games of conflict (snowdrift, hawk–dove, chicken) involves adopting a convention: a correlated equilibrium that avoids any conflict between aggressive strategies. Dynamic networks allow individuals to resolve conflict via their network connections rather than changing their strategy. Exploring how behavioral strategies coevolve with social networks reveals new dynamics that can help explain the origins and robustness of conventions. Here, we model the emergence of conventions as correlated equilibria in dynamic networks. Our results show that networks have the tendency to break the symmetry between the two conventional solutions in a strongly biased way. Rather than the correlated equilibrium associated with ownership norms (play aggressive at home, not away), we usually see the opposite host–guest norm (play aggressive away, not at home) evolve on dynamic networks, a phenomenon common to human interaction. We also show that learning to avoid conflict can produce realistic network structures in a way different than preferential attachment models.
Paper on journal website: http://rsif.royalsocietypublishing.org/content/15/140/20170835
Interactive visualization: here



